für Photon hatten wir mit Äquivalenzmasse :
ein bewegter Körper nach Newton:
universell auch für andere Teilchen
in
Äußere Kraft verrichtet Arbeit Zuwachs an Energie
aus
Taylor-Entwicklung:
damit dies mit klassischer Mechanik übereinstimmt, muss gelten:
mit Ruhemasse und der Ruheenergie.
Relativistische kinetische Energie:
Relativistischer Impuls
mit
mit (5):
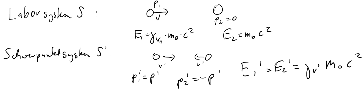
S:
auch S':
gilt auch für Kollektive von Teilchen.
Da für Photonen gilt, folgt . Das heißt das Photon besitzt keine Ruhemasse.
Die gesamte Energie des Photons ist kinetische Energie.
Ende October 30A
Beginn October 30B
Beryllium in Ruhe mit wird gespalten in
2 Heliumatome mit

Gesucht: Energie der Fragmente.
1. Möglichkeit: Energiebilanz vorher=relativistisch korrigierte Energie der Fragmente
nach auflösen:
2. Möglichkeit
Kinetische Energie
mit
Beispiel: Anwendung Energie-Impuls Invariante bei Proton/Antiprotonerzeugung durch Beschleunigung eines Protons auf ruhendes Proton
Energie-Impuls Invariante
Nach Kollision: 3 Protonen, 1 Antiproton im Schwerpunktsystem vorher sind alle in Ruhe

Gesucht:

in S': Gesamtimpuls bleibt 0 vor- und nachher.
Energie:
in S:
Energie-Impuls invariante für Gesamtsystem
Invariante in S für bewegtes Proton:
aus in :
Wiederholung:
In S:
in S' bewegt sich mit relativer Geschwindigkeit zu S:
Ziel: mit in S gemessenen Größen () ausdrücken
Herleitung: in Übungsaufgabe
Ergebnis:
Lorentztransformation für Energie & Impuls
Rücktransformation:
ist in S gemessene Geschwindigkeit von S'
Ende October 30B