Materie kann sich wie eine Welle verhalten
Normalerweise verborgen, da Wellenlänge sehr klein ist
Erste Hinweise: 1927 Davisson und Germer

Elektronenreflexion an Metalloberfläche
Metall: Kristallstruktur mit regelmäßigen angeordneten Atomen
Beobachtung
Analog zu Bragg'sche Gesetz für Röntgenstrahlung (W. H. und W. L. Bragg 1915 Nobelpreis)


Elektronen: DeBroglie 1924
mit
Beobachtung:
Wie beim Licht
Wenn man die Wellennatur von Teilchen beobachtet, dann ist das Amplitudenquadrat der Wellenfunktion die Wahrscheinlichkeit Teilchen im zu detektieren

Problem bei 300K:
Lasergekühlte Neon-Atome mit in magnetooptischer Falle mK
Extraktion durch Laser mit nm Metastabil angeregt nicht gefangen
v=1,530nm
Vorteil metastabile Zustände erzeugen höheres Detektorsignal

Fullerene m bei 1000K in Ofen erzeugt
Gitter mit 50nm Spaltgröße und 100nm Spaltabstand
Detektion durch 1m fokussierten Laser und Ionendetekor
Fullerene senden Schwarzkörperstrahlung aus und sind Vibrationsangeregt Welche-Weg-Information wenn heiß genug
Bei K Emisson von 2-3 infrarot Photonen mit m
Spaltabstand Interferenz

bei höheren Temperatur: Spaltabstand=> Welche-Weg-Information möglich zu erhalten verschwinden der Interferenz

Annahme A: geht entweder durch 1 oder 2

zu A
Wenn ein Loch zu Rate geht hoch zu A
Licht an:
hell: Lichtblitze lokalisieren
Interferenz verschwindet A: ok
dunkler: Manche Photonen verfehlen Interferenz
Wenn Lichtblitz keine Interferenz
Licht hell aber langwellig: Interferenz, aber Lokalisierung unmöglich
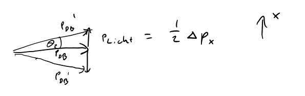
Mit Mikroskopobjektiv schauen wir Doppelspalt an:

Extrema bei sin()= mit
Erstes Minimum bei : sin (i)
Abbe: (2 von Kondensor: Belichtung mit Linse)

Maximaler Öffnungswinkel: °
Photon zur Ortsbestimmung hat Impuls Winkelveränderung des
Impuls des Lichts:
Winkelveränderung wegen Compton effekt:

sin( (ii)
Damit man Ortsinformation erhält muss einsetzen in (ii) (iii)
vergleich mit (i) Photon lenkt erstes Maximum ins erstes Minimum Interferenz verschwindet
Dass heißt Ortsmessung verwischt Impulsmessung
mit (iii)
weil keine mathematisch exakten Varianzen sind entspricht das Ergebniss nicht der Heisenberg'schen Unschärferelation: